การประมูล และ ประกาศการประมูลขายซากรถยนต์ ที่ได้จากการจ่ายสินไหมของบริษัท ธนชาตประกันภัย จำกัด
เงื่อนไขการประมูล และ ประกาศการประมูลขายซากรถยนต์ ที่ได้จากการจ่ายสินไหมของบริษัท ธนชาตประกันภัย จำกัด
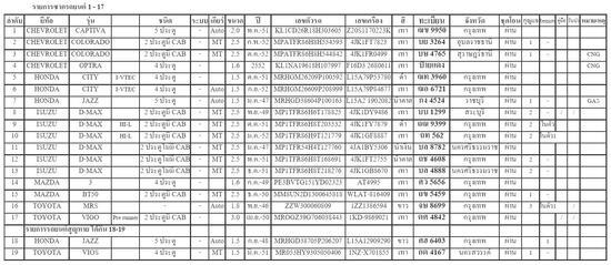
1. ข้อมูลรายละเอียด เช่น การแจ้งหยุดใช้รถยนต์ การเปลี่ยนแปลงเครื่องยนต์ การใช้แก๊ส ยี่ห้อ รุ่น ทะเบียน ปี สี ประเภท ชนิด เกียร์ ระบบขับเคลื่อน ขนาดเครื่องยนต์ และอื่นๆ อาจคลาดเคลื่อนจากความจริง จากความ ผิดพลาดในการลงข้อมูล จึงไม่ถือว่าเป็นสาระสำคัญในการประมูลหรือเป็นเหตุยกเลิกหรือปฏิเสธการเสนอราคา เป็นการประมูลแบบเหมา ตามสภาพ ซึ่งอาจมีชิ้นส่วน อุปกรณ์ บางอย่างเสียหาย ชำรุด หรือขาดหายได้
2. ขอดูซากรถยนต์ก่อนการประมูลได้ที่ หจก.บิ๊กบูม เซอร์วิส 2547 เลขที่ 13/26 ม.9 ถนนเกษตร-นวมินตร์ แขวงคลองกุ่ม เขตบึงกุ่ม กรุงเทพฯ 10230 โทร.02 943 9300-2 (ไม่อนุญาตให้ดูซากรถยนต์ภายหลังประมูลแล้ว)
3. การเสนอราคาประมูล ให้เสนอราคาในหลัก 1,000 ขึ้นไป มิให้เสนอราคาในหลัก หน่วย สิบ หรือ ร้อย (มิฉะนั้นบริษัทจะใช้สิทธิ์ในการปัดตัวเลขขึ้น) และชุดโอนจะออกในนามของผู้เสนอราคาการประมูลเท่านั้น
4. เอกสารการโอนอาจไม่ครบพร้อมโอน ในขณะประมูล (เป็นหน้าที่บริษัทที่จะต้องดำเนินการจัดการให้ถูกต้องในภายหลัง)
5. ยื่นซองประมูลในวันและเวลาประมูล ที่สำนักงานบริษัทธนชาตประกันภัย จำกัด พร้อมเงินค้ำประกันการประมูลคันละ 10,000บาท ซองประมูลที่ยื่นแล้วไม่อาจขอคืนได้ ในกรณียื่นมากกว่า 1ซองในชื่อและรายการเดียวกัน บริษัทจะยึดถือราคาเสนอที่สูงกว่า หากมีการเสนอราคาประมูลแทนกัน ผู้ที่เสนอแม้นมิใช่ผู้ปรากฏชื่อตามเอกสาร ให้ถือว่าผู้เสนอและผู้ปรากฏชื่อต้องร่วมกันในฐานะตัวการตัวแทน กรณีทิ้งผลการประมูลบริษัทจะริบเงินค้ำประกันการประมูลทั้งหมดหรือบางส่วน (ขึ้นอยู่กับความเสียหายที่บริษัทจะต้องได้รับ) และสามารถเรียกร้องค่าเสียหายที่เกิดขึ้นได้อีก
6. ยื่นซองประมูลภายในวันที่ 12 ม.ค. 2553 เวลา 10.30น.-12.00น. ณ บริษัทธนชาตประกันภัย จำกัด อาคารกลาสเฮาส์ชั้น9 สุขุมวิท25 กรุงเทพฯ 10110
7. บริษัทจะแจ้งผลประมูลภายหลังการประมูลไม่เกิน 2 วันทำการ ผลการประมูลถือเป็นสิทธิ์ขาดของบริษัท บริษัทมีสิทธิไม่ขายหรือต่อรองราคาเพิ่มได้ กรณีบริษัทมิได้พิจารณาขายให้บุคคลใด ขอรับคืนเงินค้ำประกันได้ที่บริษัท
8. เมื่อบริษัทได้แจ้งหรือประกาศผลให้บุคคลใดเป็นผู้ชนะการประมูลแล้ว บุคคลผู้นั้นจะต้องนำเงินสดมาชำระทั้งหมดให้เสร็จสิ้นภายใน 7 วัน นับแต่วันที่เสนอประมูล และจะต้องขนย้ายซากรถยนต์ดังกล่าวออกจากสถานที่จัดเก็บภายใน 3 วัน นับแต่วันที่ชำระเงินเป็นที่เรียบร้อยแล้ว
9. ข้อสงสัยโปรดติดต่อ คุณกิตติ ศาลาพรชัย โทร. 02 661 7999 ต่อ 8049 ในวันและเวลาทำการ หรือเข้าดู http://www.thanachartinsurance.co.th/">http://www.thanachartinsurance.co.th หรือ http://www.thaisecondhand.com/">http://www.thaisecondhand.com หรือ http://www.be2hand.com/">http://www.be2hand.com หรือ http://www.pantipmarket.com/">http://www.pantipmarket.com
![]()  | 
| ราคา: | ไม่ระบุ | ต้องการ: | ขาย | 
| ติดต่อ: | คุณกิตติ ศาลาพรชัย | อีเมล์: | |
| โทรศัพย์: | 0-2661-7999 ต่อ | IP Address: | 61.47.18.239 | 

