ขายปลีก Stay-C50 วิตามินซีสำหรับผลิตภัณฑ์เครื่องสำอาง
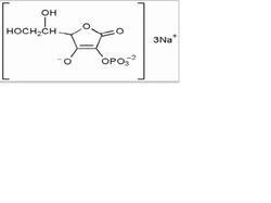
STAY-C50 อนุพันธ์วิตามินซีในรูป Sodium Ascorbyl Phosphate มีความคงตัวสูง ละลายน้ำ มีความปลอดภัยสูง เป็นวิตามินซีรูปที่นิยมใช้เป็นส่วนผสมในเครื่องสำอางอย่างแพร่หลาย
![]() | ![]() |
| ราคา: | ไม่ระบุ | ต้องการ: | ขาย |
| ติดต่อ: | Ordinary-Beauty | อีเมล์: | |
| โทรศัพย์: | 081 558 5506 | IP Address: | 58.11.91.143 |
| มือถือ: | 081 558 5506 | จังหวัด: | กรุงเทพมหานคร |


